任心玉
收藏TA需扫码在手机上打开微
主页后点击更新提醒
最新内容 17
安利一本有关小升初名校自主招生的好教辅。并就教培内容和小升初考试的差异做几点闲谈。
2022-06-01 24阅读
初中数学学习中的主要问题。改录自公众号文章
2022-05-06 331阅读
分享学习的感悟,结交共识的朋友!
2022-03-29 209阅读
听直播截图。观点不仅适用高中,同样适用初中和小学奥数的学习。
2022-03-28 177阅读
随笔:对名校小升初数学考试考什么的几点归纳
2022-03-10 156阅读
陏笔:"差生"如何逆袭
2022-02-14 111阅读
随笔:小学奥数的应用题该不该使用解方程的方法。
2021-12-09 108阅读
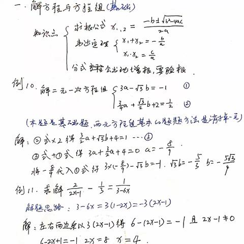
初中数学学习笔记4
2021-11-30 121阅读
初中数学学习笔记3
2021-11-12 224阅读
初中数学学习笔记2
2021-11-10 110阅读
初中数学学习笔记
2021-11-07 121阅读
正确认识小学奥数和奥数培训。(请帮忙推送转发,谢谢!)
2021-06-10 289阅读
减轻小学奥数学习负担的一次偿试(转发,入群通知我发个红包意思意思,3Q)
2021-05-08 96阅读
小学一年级期中复习、
2020-10-30 71阅读
奥运烟花,悄悄燃放
2020-08-16 111阅读
任信的美篇
2020-04-09 21阅读
恭贺新年!
2019-02-01 38阅读